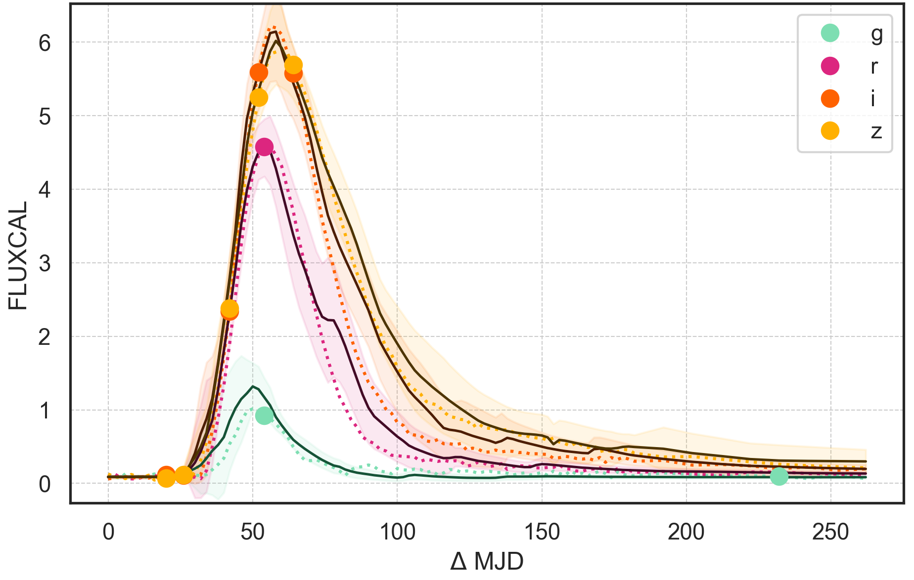
Neural Processes for multiband light curve interpolation
In my latest project, I am developing neural processes, to interpolate transient light curves to prepare for LSST.
PhD Student, University of Delaware
My work is at the intersection of astrophysics and machine learning, which I use to develop methods to better understand time-varying phenomena of our Universe. My research interests are
Analyzing the temporal behavior of astronomical objects across multiple wavelengths to understand physical processes and identify new phenomena.
Studying objects that change brightness dramatically over short timescales, including supernovae, stellar flares, and other explosive or eruptive events.
Developing unsupervised and semi-supervised machine learning techniques to identify unusual patterns in astronomical data that may represent new classes of objects or phenomena.
Applying statistical methods and information science to astronomical problems to better understand physics.
You can find research papers I have authored here:
Google Scholar
ADS Library
When I'm not exploring the temporal patterns of the cosmos, I enjoy watching and playing football (soccer), coding for fun (automating the boring stuff!), and bicycling.
Here are some highlights of the projects I have worked on:
In my latest project, I am developing neural processes, to interpolate transient light curves to prepare for LSST.
I am expanding DistClassiPy, for anomaly detection in light curves. For a more details of this work, please refer to our published paper here or on (arXiv).
I developed DistClassiPy, a Python library that introduces a novel classifier capable of utilizing multiple distance metrics for classification tasks. This library was specifically applied to the analysis of light curves from variable stars observed by the Zwicky Transient Facility (ZTF). For a detailed exploration of this project, please refer to our published paper here or on (arXiv).
One of my recent projects involved a comprehensive comparison of a Milky Way kinematics model, initially developed using Sloan Digital Sky Survey (SDSS) data, with the more recent Gaia (DR3) data. The findings of this study are detailed in our published paper, accessible here or on (arXiv).
As part of my research, I contributed to the enhancement of feature extraction techniques for the RESSPECT project. Our approach involved the application of curve fitting methods and deep learning algorithms, specifically GP-VAE, to derive meaningful features from light curves. For a more detailed exploration of this project, please visit the project page.
My research involved the application of deep learning techniques for the photometric classification of compact images from the Sloan Digital Sky Survey, distinguishing between galaxies, stars, and quasars. For a detailed exploration of this project, please refer to our published paper hereor on (arXiv).
As part of a course project, I tackled the PLAsTiCC data challenge. In this, we employed a stacked ensemble of GRU and Dense networks to classify simulated light curves. For more details, please check it out on (arXiv).
I plan to write a bit more about my research and my thoughts. While still in early stages, you can check out my blog here!
If you have any questions about my research, wish to discuss potential collaborations, or have spotted a bug in my code, please feel free to contact me! You can reach me via email at chaini@udel.edu.